# 链表算法(2)

5 min read
Table of Contents

25-09-19 反转链表、两数之和 25-09-20 两两交换链表中的节点 昨天和今天在准备速写带画教学内容,学习进度放缓… 相关链接:代码随想录 |> 206.反转链表|24. 两两交换链表中的节点|1. 两数之和

206.反转链表

206. 反转链表

简单

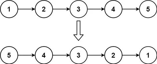
给你单链表的头节点 head ,请你反转链表,并返回反转后的链表。

示例 1:

img
输入:head = [1,2,3,4,5]
输出:[5,4,3,2,1]

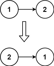
示例 2:

img
输入:head = [1,2]
输出:[2,1]

示例 3:

输入:head = []
输出:[]

提示:

  • 链表中节点的数目范围是 [0, 5000]

  • -5000 <= Node.val <= 5000

**进阶:**链表可以选用迭代或递归方式完成反转。你能否用两种方法解决这道题?

双指针法

写的时候犯了个小错误,由于基础不牢,不知道怎么直接给 prev nil,然后直接写了 prev := &ListNode{} 再赋值成 nil ,然后这个节点被丢弃掉,等待 GC 回收。多了一次无意义的分配。

应该是: var prev *ListNode

含义:声明了一个指针,初始状态是「空指针」,不指向任何元素。

这证明我对结构体的传递还不熟悉。

大致过程:

prev = nil

cur = head

tmp = cur.Next // tmp 存储下一个节点,防止指针反向后丢失

cur.Next = prev // 指针反向

以上就是一次反向的过程,遍历的条件是

for cur != nil {
}

如下图所示:

image-20250919211706978 image-20250919211721024

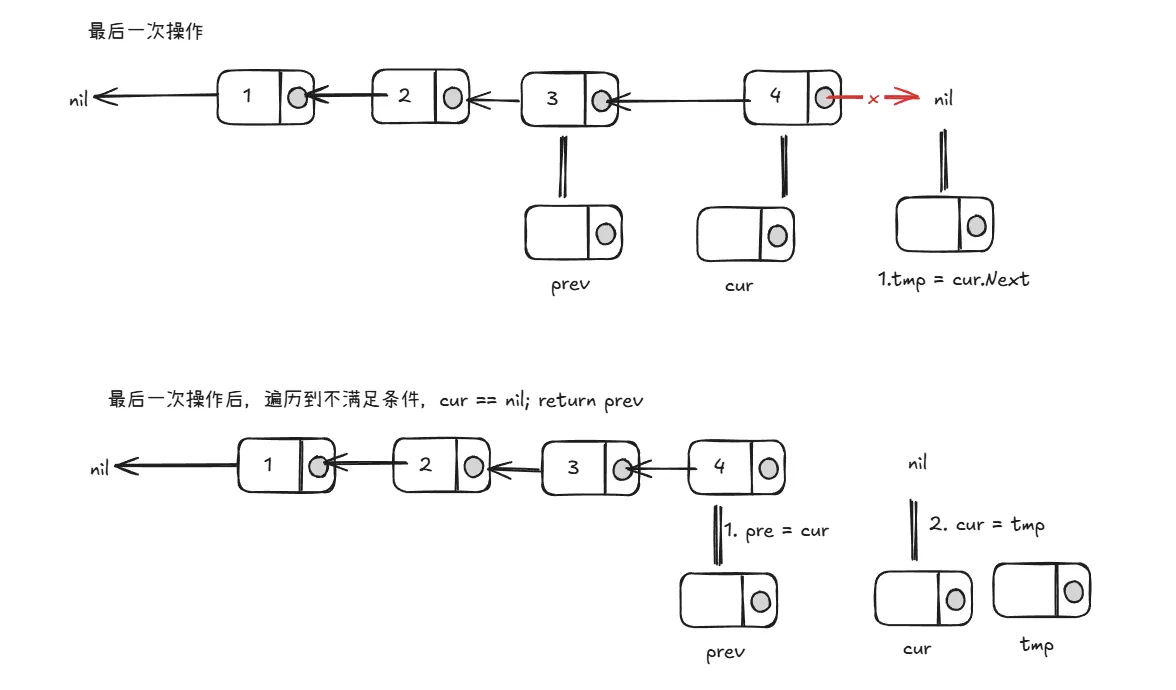
多次操作后…到达最后一次

当 cur == tail 时是最后一次迭代,接着 cur = nil ,不进循环,tmp 也是 nil。此时 return prev 就是反转后的链表

image-20250919211924684

代码

/**
* Definition for singly-linked list.
* type ListNode struct {
* Val int
* Next *ListNode
* }
*/
func reverseList(head *ListNode) *ListNode {
// prev := &ListNode{}
// prev = nil
var prev *ListNode
cur := head
for cur != nil {
tmp := cur.Next // 存储下一个节点/nil
cur.Next = prev // 反转指向
// 向后移动
prev = cur
cur = tmp
}
return prev
}

24. 两两交换链表中的节点

24. 两两交换链表中的节点

中等

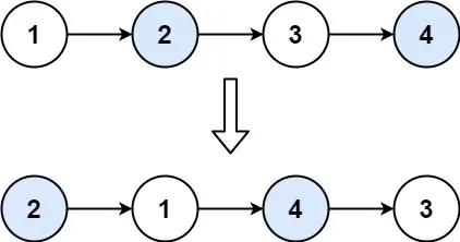
给你一个链表,两两交换其中相邻的节点,并返回交换后链表的头节点。你必须在不修改节点内部的值的情况下完成本题(即,只能进行节点交换)。

示例 1:

img
输入:head = [1,2,3,4]
输出:[2,1,4,3]

示例 2:

输入:head = []
输出:[]

示例 3:

输入:head = [1]
输出:[1]

提示:

  • 链表中节点的数目在范围 [0, 100]
  • 0 <= Node.val <= 100

虚拟头结点

一定要画图

image-20250920174456760 image-20250920174517629 image-20250920174532533

设一个虚拟头结点指向 head ,然后按照上图的步骤操作。注意这里需要设一个 tmp 存一下节点1。

同时需要注意循环条件。

当链表节点数为偶数时,cur.Next != nil (空链表时也满足);

当链表节点数为奇数时,cur.Next.Next != nil

写循环条件时,cur.Next != nil 应该写在 cur.Next.Next != nil 前面,否则可能会操作空指针。

for cur.Next != nil && cur.Next.Next != nil {
}

完整代码

/**
* Definition for singly-linked list.
* type ListNode struct {
* Val int
* Next *ListNode
* }
*/
func swapPairs(head *ListNode) *ListNode {
DummyHead := &ListNode{Next: head}
cur := DummyHead
for cur.Next != nil && cur.Next.Next != nil {
tmp := cur.Next
cur.Next = tmp.Next
tmp.Next = cur.Next.Next
cur.Next.Next = tmp
// 移动 cur
cur = cur.Next.Next
}
return DummyHead.Next
}
My avatar

Thanks for reading my blog post! Feel free to check out my other posts or contact me via the social links in the footer.


More Posts

Comments